PHP开发日志
首页
您好,欢迎到访网站!
[登录后台]
[查看权限]
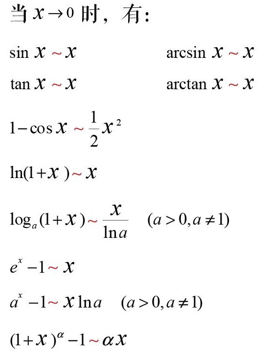
等价无穷小常见公式
2021年12月03日 12:03:18
3852 Views
0 Comments
转载请注明:
PHP开发日志
>>
APP开发
»
等价无穷小常见公式